검색결과 리스트
글
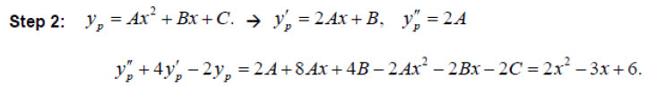
다항식의 형태
비동차방정식의 풀이는 예제를 통해 이야기하겠습니다. 먼저
위와 같이 비동차방정식의 우변이 다항식의 형태로 나타나는 경우인데요. 일단 먼저 동차라고 생각하고 해를 구합니다.
위의 내용은 동차방정식의 해 구하기에서 이야기했던 것이구요. 그리고 비동차부분의 해를 구하게 되는데, 다항식의 형태이니고 어떤 형태로 해를 잡으면 원 문제에 대입했을때 풀어질 것인지를 생각해야합니다. 일반적으로는 같은 차수의 다항식을 생각합니다.
위에서 처럼 말이지요. 그리고 실제로 대입해서
양변의 계수를 비교해서 비동차의 해를 완성하는 것이지요.
그러면, 동차일때의 해와 비동차일때의 해를 더해서 원 문제의 해를 확립할 수 있습니다.
삼각함수의 형태
위 문제를 보면 비동차부분이 삼각함수인 sin인데요. 위에서 그리고 이전글에서 이미 동차부분은 했으니, 이제는 비동차의 특수해만 생각을 해보죠. 한번 미분하면 cos이 되니 비동차의 해는
이렇게 cos과 sin이 모두 나타나야합니다. 나머지는 방금했듯이 계수를 비교하는 것이지요.
'The Robot > Theory' 카테고리의 다른 글
| [엑셀 연재] 3. 차계부를 이용해 간단한 수식 배워보기 (14) | 2010/09/27 |
|---|---|
| [엑셀 연재] 2. 자동 채우기와 데이터 유효성 (2) | 2010/09/13 |
| [엑셀 연재] 1. 주간계획표를 만들어보자... (20) | 2010/08/30 |
| [공업수학] 미정계수법을 이용한 비동차 방정식의 풀이 (8) | 2010/04/06 |
| [공업수학] 상수계수의 동차선형방정식의 풀이 (0) | 2010/04/06 |
| [정보통신개론] 통신망 기술 (0) | 2010/04/05 |
| [공업수학] 선형방정식 (12) | 2010/03/30 |
| [공업수학] 1계 미분방정식 (6) | 2010/03/30 |
03-04.pdf

제가 현제 해외에서 대학을 다니고 있는데.. 이해가 안되는 것이 있는데
염치를 불구 하고 이렇게 댓글을 남겨 봅니다..
선형 방정식부분의 일부인 비동차 방적식 풀이 법에 관한 것인데요.
문제가 D^2y + 9Dy + 8y = -15sin3x * e^(-4x)
라고 되있는데
이런 경우에는 어떤식의 접근이 필요 한가요?
삼각함수의 형태와 지수형태를 동시에 가지고 있어서..
yp를 어떻게 구해야 될지..
exponential shift를 이용하면 더 쉽다는데..
RHS에 있는 지수가 e^(-x)이나 e^(-8x)가 아니라서... 어떻게 shift를 해야 될지...
비동차에서 yp를 선정하는 것은 case-by-case입니다. 사실 정확히 공식화되어있다고 딱 잘라 말할 수 없는 부분도 많습니다. 많은 부분 '감'에 의존한다고 볼 수 있는데요. 그래도 몇가지 상황들은 그나마 정형화되어있긴 합니다. 일단 느낌이 가는데로 선정하신다음에.. 다시 대입해 보세요. 그래서 만족하는지 확인하시면 됩니다.
일단
먼저...
yp = Asin(3x) e^(-4x)
으로 선정하고 원 문제에 대입해보면.. 성립할 수 없음을 확인할 수 있습니다. 익히 알려진 상황으로 sin의 경우 cos과 같이 선정해야한다고 알려져 있으니...
yp = ( Asin(3x) + Bcos(3x) ) e^(-4x)
으로 한번 선정해서 대입해 보십시오.
아마 만족스럽지 않을까합니다.
답변 ㄳ드립니다.
덕분에 문제는 풀긴 햇는데, exponential shift를 사용해서 yp에 있는 e^(-4x)를 없애서 하는 방법은 없을까요?.. 계산이 너무 복잡해 져서 좀 간소화 시키려고 하는데;
자세히 찾아 보진 않았습니다만... 창피하게도(ㅜ.ㅜ) 전
exponential shift
라는 이름을 잘 모르겠네요^^... 라플라스변환에서 사용하는 기법들 중 비슷한 이름이 있으니, 라플라스변환을 통한 미방의 풀이라면 이해하겠는데... 직접적인 풀이방법에서는 잘 모르겠습니다...^^
설명해주신내용 잘 봤습니다. 그런데 올려주신 자료에서
예제 7번문제 질문좀 하겠습니다ㅜㅜ
예제 7번에서 특수해를 구할 때
Ae^x가 아닌 Ax^2e^x가 되는지 알고싶습니다.
유사한문제로 고민하고 있어서 답변해주시면 감사하겠습니다..
먼저 Ae^x의 형태로 두고 풀었을때, 미방이 풀리면 그걸로 된겁니다. 그런데 만약 풀리지 않을때는 Axe^x의 형태가 괜찮지 않겠는가 하고 다시 시도해보는거죠. 또 안되면, Ax^2e^x의 형태도 시도해보는 것입니다.
Acos3x+Bsin3x를 미분하면 어떻게
(-8A-3B)cos3x+(3A-8B)sin3x가 나오는거죠?
질문이 x에 관한 미분인가요?
결과는
http://www.wolframalpha.com/input/?i=diff%28%28A*cos%283*x%29%2BB*sin%283*x%29%29%2C+x%29
에서 확인할 수 있습니다만,
3Bcos(3x)-3Asin(3x)입니다.
다른 조건없이, A, B가 상수일때, 그리고 x에 관한 미분일때입니다.